Nabízíme (objednat) všechny materiály z této sekce na webu e-matematika.cz jen za 250Kč!
Podpořte náš web odkazem!
Jazyková škola Březinka otevírá letní jazykové kurzy. Přátelské tvůrčí prostředí + velmi příznivé ceny.
Příprava na reparát z matematiky
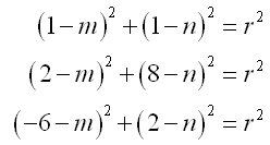
Urči středovou rovnici kružnice, která prochází body:

Středová rovnice kružnice má tvar (x-m)2 + (y-n)2 = r2 . Tuto rovnici musí splňovat všechny zadané body. Dosadíme postupně (třikrát) do rovnice za x a y souřadnice zadaných bodů (první za x a druhou za y) a tak získáme soustavu tří kvadratických rovnic.

Závorky na levé straně každé rovnice umocníme podle vztahu (a±b)2 = a2 ± 2ab + b2.

Odečteme od sebe dvakrát dvě rovnice (v našem řešení odčítáme první a druhou a první a třetí):

Při tomto odčítání nám ze soustavy zmizely všechny kvadratické členy (m2, n2 a r2)
Získanou soustavu dvou lineárních rovnic s neznámými n a m upravíme do jednoduššího tvaru.

Soustavu vyřešíme:

Vybereme si jednu z rovnic v 1. kroku a dosazením dopočítáme velikost poloměru:

Zapíšeme výsledek (středovou rovnici kružnice):

Tuto kapitolu si můžete stáhnout v PDF:
Jak určit středovou rovnici kružnice procházející třemi body.
V rámci matematické pohotovosti nabízíme doučování z matematiky a řešení obtížných příkladů.
Internetové přijímací Zkoušky nanečisto, pro žáky 5., 7. a 9. tříd. K dispozici jsou zkoušky z matematiky a českého jazyka.
Podrobnosti na stránkách Zkoušek nanečisto.
On-line matematické soutěže, kterých se můžete účastnit z domova.
Podrobnější informace o soutěžích
Učebnice VŠE z matematiky na VŠE
Učebnice matematiky na VCE a daląí vysoké školy - 85 kapitol, přes 250 stran A4.
Učebnice maturitní otázky z MATEMATIKY
Učebnice maturitní otázky z MATEMATIKY - 55 kapitol, přes 370 stran A4.