e–Matematika.cz - Nesnesitelně snadná matematika

logo zkouskz nanecisto

Zajímavé stránky




TOPlist

3. Rovnice se zlomky – lehčí typy

10 řešených příkladů na rovnice.

Nabízíme (objednat) všechny materiály z této sekce na webu e-matematika.cz jen za 250Kč!
Podpořte náš web odkazem!

Jazyková škola Březinka otevírá letní jazykové kurzy. Přátelské tvůrčí prostředí + velmi příznivé ceny.

Příprava na reparát z matematiky

Ukázka příkladu číslo 2.

Řeš rovnici:

příklad na řešení rovnic

Řešení:

příklad na řešení rovnic

Zkouška:

příklad na řešení rovnic

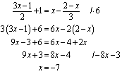
Ukázka příkladu číslo 7.

Řeš rovnici:

příklad na řešení rovnic

Řešení:

příklad na řešení rovnic

Zkouška:

příklad na řešení rovnic

Stáhněte si kompletní zadání této kapitoly (PDF)

Pro předplatitele

Ti, kdo mají předplacené materiály z webu e-matematika.cz, si mohou stáhnout řešení celé kapitoly.

Další kapitoly

První matematická pohotovost

V rámci matematické pohotovosti nabízíme doučování z matematiky a řešení obtížných příkladů.


Web provozuje:

  • Petr Husar
  • Na Březince 22
  • 150 00 - Praha 5
  • IČ: 45297223
  • DIČ: CZ-6310121840

Domácí Zkouška nanečisto

Internetové přijímací Zkoušky nanečisto, pro žáky 5., 7. a 9. tříd. K dispozici jsou zkoušky z matematiky a českého jazyka. Podrobnosti na stránkách Zkoušek nanečisto.

Soutěže Zkoušek nanečisto

On-line matematické soutěže, kterých se můžete účastnit z domova. Podrobnější informace o soutěžích

VŠE na VŠE

Učebnice VŠE z matematiky na VŠE

Učebnice matematiky na VŠE a další vysoké školy

Učebnice matematiky na VCE a daląí vysoké školy - 85 kapitol, přes 250 stran A4.

Maturujeme!

Učebnice maturitní otázky z MATEMATIKY

Učebnice maturitní otázky z MATEMATIKY

Učebnice maturitní otázky z MATEMATIKY - 55 kapitol, přes 370 stran A4.