8 řešených příkladů na určitý integrál.
Nabízíme (objednat) všechny materiály z této sekce na webu e-matematika.cz jen za 250Kč!
Podpořte náš web odkazem!
Jazyková škola Březinka otevírá letní jazykové kurzy. Přátelské tvůrčí prostředí + velmi příznivé ceny.
Příprava na reparát z matematiky
Vypočítejte:

Řešení:

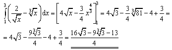
Vypočítejte:

Řešení:

Vypočítejte:

Řešení:

V rámci matematické pohotovosti nabízíme doučování z matematiky a řešení obtížných příkladů.
Internetové přijímací Zkoušky nanečisto, pro žáky 5., 7. a 9. tříd. K dispozici jsou zkoušky z matematiky a českého jazyka.
Podrobnosti na stránkách Zkoušek nanečisto.
On-line matematické soutěže, kterých se můžete účastnit z domova.
Podrobnější informace o soutěžích
Učebnice VŠE z matematiky na VŠE
Učebnice matematiky na VCE a daląí vysoké školy - 85 kapitol, přes 250 stran A4.
Učebnice maturitní otázky z MATEMATIKY
Učebnice maturitní otázky z MATEMATIKY - 55 kapitol, přes 370 stran A4.