Nabízíme (objednat) všechny materiály z této sekce na webu e-matematika.cz jen za 250Kč!
Podpořte náš web odkazem!
Jazyková škola Březinka otevírá letní jazykové kurzy. Přátelské tvůrčí prostředí + velmi příznivé ceny.
Příprava na reparát z matematiky
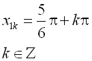
Řeš v množině reálných čísel rovnici:

Pro funkci kotangens není žádná reálná hodnota nemožná, takováto rovnice má smysl, ať stojí vpravo od rovnítka cokoli (samozřejmě číslo z R), vše je zde dovoleno.
Načrtneme si jednotkovou kružnici. Funkce kotangens se zobrazuje na tečné ose kružnice seshora, rovnoběžné s osou x. Protože je to kružnice jednotková, je její poloměr jedna, délka poloměru doprava od osy y odměří hodnotu kotangens 1, doleva minus 1. Tam, kde tečnou přímku pro kotangens protíná osa y, je hodnota kotangens nula. My řešíme rovnici pro hodnotu minus odmocnina ze tří, to je přibližně minus 1,7. Tímto bodem vedeme přímku procházející počátkem a zvýrazníme její průsečíky (stačí jeden průsečík) s kružnicí. Ty nás zajímají (jedná se o obrazy kořenů rovnice).

Určíme hodnoty kořenů v obloukové míře. K hodnotě kořenů připočteme periodu pro funkci kotangens. Ta je stejně jako pro funkci tangens π (pozor - neplést se sinem a kosinem, tam je to 2π). To znamená, že přičteme kπ .

Tuto kapitolu si můžete stáhnout v PDF:
Jak řešit jednoduché goniometrické rovnice pomocí jednotkové kružnice s cotg x.
V rámci matematické pohotovosti nabízíme doučování z matematiky a řešení obtížných příkladů.
Internetové přijímací Zkoušky nanečisto, pro žáky 5., 7. a 9. tříd. K dispozici jsou zkoušky z matematiky a českého jazyka.
Podrobnosti na stránkách Zkoušek nanečisto.
On-line matematické soutěže, kterých se můžete účastnit z domova.
Podrobnější informace o soutěžích
Učebnice VŠE z matematiky na VŠE
Učebnice matematiky na VCE a daląí vysoké školy - 85 kapitol, přes 250 stran A4.
Učebnice maturitní otázky z MATEMATIKY
Učebnice maturitní otázky z MATEMATIKY - 55 kapitol, přes 370 stran A4.